2026-04-10 06:29来源:本站

2021年,美国住房在最经济的国家中排名第三
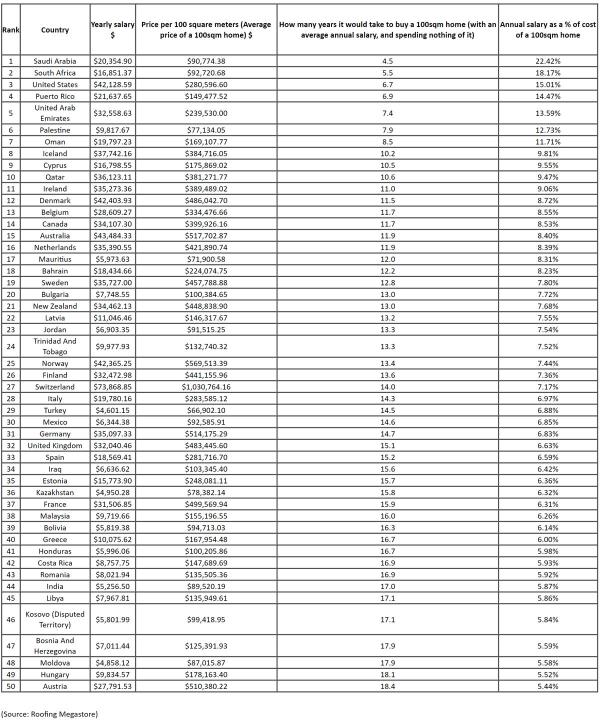
根据英国建筑供应商“屋顶大卖场”最新的一项全球房价负担能力研究,沙特阿拉伯是2021年全球房价最实惠的国家。沙特人的平均年薪略高于20354.90美元,而一套100平方米的房子的价格仅为90774.38美元。
为了制定这个排名,屋顶超市的研究团队计算了世界上109个国家每平方米房地产的平均成本——然后将这个成本乘以100,以显示100平方米的房子的平均成本。
为了提供一个更准确的负担能力的图片,平均收入(税后)也被考虑在内,以显示年薪占100平方米住房成本的百分比。为了说明房价最高和最低房价之间的巨大差异,该研究还揭示了平均年薪要花多少年才能买到一套100平米的房子。
50个最经济的购房国家
当考虑到收入潜力,在沙特阿拉伯一个全年的工资实际上等同于22%以上的整个家庭的成本,这意味着在不到五年,就足以直接买房如果所有的薪水得救了,而不是花。
南非的工资与住房成本之比为18%,在前50名中排名第二,而美国的年平均工资相当于房屋成本的15%,是世界上第三个最实惠的买房之地。
波多黎各人的年薪大约相当于21,637.65美元,平均而言,一套100平方米的房子的价格略高于239,530美元,所以平均年薪大约是一套房子成本的14%。
阿联酋的房价略低于波多黎各,平均房价接近239,530美元,年薪接近32,558.63美元,位居第五。
世界上50个最适合买房的地方

最难以负担的买房国家
在天平的另一端,以昂贵著称的韩国和香港跻身十大最难以负担的购房国家也就不足为奇了。
数量至少一个负担得起的地方买房虽然是加纳——平均房价站略高于510658 .55美元,但平均年薪只有3420美元左右点,这意味着它需要149年的时间去攒够买房子如果没有工资。
在斯里兰卡买房更便宜,一套100平米的房子的平均价格约为212,748.44美元,但斯里兰卡人的平均年薪也很低,不到3000美元。这只相当于一套房子的1.33%,需要75年的储蓄,不花任何钱,才能买到一套100平方米的房子。
第三位的香港是整个调查中房价最高的地区,平均100平方米的房屋售价为212,748.44美元。平均而言,香港人的年薪将接近37,755.49美元,与住房成本相比,相当于1.36%。
排名第四的是牙买加(1.63%),如果考虑到购买力,最难以负担的五个国家中还有伊朗(1.72%)。
排在前五名之外的是出了名的昂贵的韩国。平均薪资站在平均26571 .03点美元,尽管这是高于四五大最负担得起的地方,一个100平方米的房子将花费超过100万美元,这意味着需要47年买房直接如果你在韩国获得了平均工资,没有花了。
董事总经理Gian-Carlo Grossi屋面超大卖场评论道:“虽然在现实中,它是不可能节省100%的工资,而不是使用任何标准的生活成本,length-of-time-to-buy方程是真正说明的区别最和最便宜的地方买房子。”
世界上最难以负担的20个地方

